Procon divulga pesquisa de preços de combustÃveis na Capital
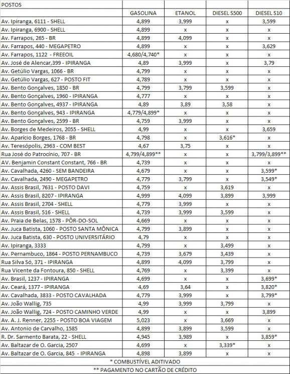
O Procon Porto Alegre realizou nesta segunda-feira, 1º, um novo levantamento de preços da gasolina comum, etanol e diesel em 41 postos da Capital. Os valores da gasolina comum variam de R$ 4,669 a R$ 5,023. Já os valores do álcool variam de R$ 3,649 a R$ 4,099; quanto ao diesel S500, os preços vão de R$ 3,339 a R$ 3,899; e o diesel S10, de R$ 3,549 a R$ 3,999.
O consumidor poderá incluir na pesquisa de preços do Procon Porto Alegre o posto mais próximo de sua casa. Se desejar contribuir para o levantamento deverá contatar o Procon Municipal através do Twitter ou via mensagem inbox no Facebook enviando fotos. Devem constar também o nome do posto e o endereço. Postos de gasolina que desejarem incluir seus estabelecimentos nas pesquisas devem entrar em contato com o Procon.
Reclamações - Moradores de Porto Alegre podem registrar queixas pelo site do Procon ou na sede da rua dos Andradas, 686, Centro Histórico. São distribuÃdas diariamente 90 fichas de atendimento, das 9h à s 17h. O Procon Municipal também disponibiliza para a população uma loja no terminal 1 do Aeroporto Salgado Filho, em funcionamento das 12h à s 18h. O Procon Porto Alegre é um órgão vinculado à Secretaria Municipal de Desenvolvimento.

Â
Denise Righi
